
Maple软件在操作函数的时候是可以些三段分段函数的,可能有些用户不知道该怎么去操作,为此我们带来了教程帮助大家书写,下面就看看具体的方法,了解Maple怎么写三段分段函数吧。
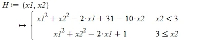
Maple怎么写三段分段函数:1、首先定义多元分断函数“H(x1,x2)”。
2、之后绘制函数图像,可以切换成等值的线图。
网格图为:
3、等值线图求函数极值为“9”。
4、调用率为:
5、求x1的极值点,x1=1
6、将下面的值代入,求x2的极值点,x2=3
相关教程:算行列式
以上就是Maple怎么写三段分段函数的全部内容,望能这篇Maple怎么写三段分段函数可以帮助您解决问题,能够解决大家的实际问题是怒虫攻略一直努力的方向和目标。