
Maple软件可以计算积分大家都知道,不过在计算的时候很多的用户反馈称没有显示计算的过程因此看起来很不方便,为此我们下面就带来了过程显示方法,来了解看看Maple怎么显示计算积分的过程吧。
Maple怎么显示计算积分的过程:1、首先输入:
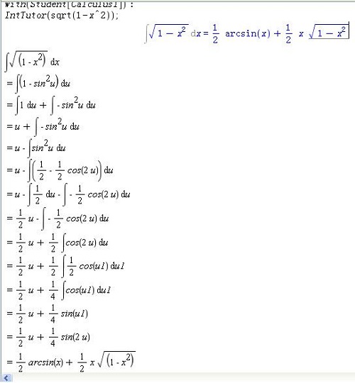
with(Student[Calculus1]):IntTutor(sqrt(1-x^2))
这个是举的例子,大家可以改成自己正在使用的函数。
2、然后在图中选择“all steps”在结果中双击鼠标选中所有过程。
3、之后按下快捷键“ctrl+c”来进行复制。
4、关闭这个窗口,在工作去中按下“ctrl+v”粘贴即可。
5、最后还会有一个对话框,直接选择yes即可。
相关教程:算行列式
以上就是Maple怎么显示计算积分的过程的全部内容,望能这篇Maple怎么显示计算积分的过程可以帮助您解决问题,能够解决大家的实际问题是怒虫攻略一直努力的方向和目标。