
在建模中遇到一些多元多次方程组的时候,大家可以去通过maple软件来进行解决,或许很多的伙伴并不知道如果使用解答,为此我们带来了教程,今天就和我们看看maple软件怎么解多元多次方程组吧。
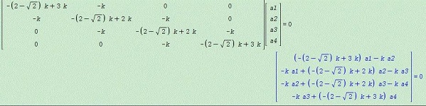
maple软件怎么解多元多次方程组:1、首先打开进入软件,然后定义需要求解的方程,如果是矩形阵势,那么就先将矩阵化成方程,输入矩阵a并回车。
2、然后将方程改成“[A]*[X]=0”,然后回车可以得到非矩阵形式线性方程组。
3、之后可以得到4个方程,将其分开写为:
· eqn1:=方程1=0,
· eqn2:=方程2=0,
· eqn3:=方程3=0,
· eqn4:=方程4=0。
4、最后输入命令“solve({eqn1,eqn2,eqn3,eqn4},{a1,a2,a3,a4})”,这里的第一个“{}”里写的是需要求解的方程编号,第二个是变量,点击回车即可。
以上就是maple软件怎么解多元多次方程组的全部内容,望能这篇maple软件怎么解多元多次方程组可以帮助您解决问题,能够解决大家的实际问题是怒虫攻略一直努力的方向和目标。